【E資格不合格から学ぶ】線形代数(行列)のポイントを解説!

  • 「行列」について学びたいけど理解できるか不安・・・
  • 「行列」についてどこから学んでいいか分からない?
  • 「行列」を体系的に教えて!

 「行列」は人工知能(AI)を含む機械学習において用いられれている重要なものですが、興味があっても難しそうで何から学んだらよいか分からず、勉強のやる気を失うケースは非常に多いです。

 私は過去に基本情報技術者試験(旧:第二種情報処理技術者試験)に合格し、また2年程前に「一般社団法人 日本ディープラーニング協会」が主催の「G検定試験」に合格しました。現在、「E資格」にチャレンジ中ですが3回不合格になり、この経験から学習の要点について学ぶ機会がありました。

 そこでこの記事では、「行列」についてポイントを解説します。

 この記事を参考にして「行列」が理解できれば、E資格に合格できるはずです。

<<「行列」のポイントを今すぐ見たい方はこちら

目次

1.行列とは

1.1 スカラーとベクトルの違い

     スカラーベクトル
・だいたい、いわゆる普通の数・「大きさ」と「向き」を持つ
・+-×÷の演算が可能・矢印で図示される
・ベクトルに対する係数になれる・スカラーのセットで表示される
スカラーとベクトルの比較

1.2 行列

行列とは・・・

  • スカラーを表にしたもの
  • ベクトルを並べたもの
    (ベクトルのベクトル)
行列
学生
学生

行列って何に使うの?

著者
著者

行列は次のことに使えるよ!

ベクトルの変換

連立方程式を解く

1.3 連立1次方程式

連立1次方程式の例
連立1次方程式の例

1.4 行列を用いた表示

行列を用いた表示
行列を用いた表示

※この係数をまとめて「表」のようにした部分を「行列」と呼ぶ

1.5 行列とベクトルの積

  • 例題
行列とベクトルの積の例題
行列とベクトルの積の例題

1.6 行列とベクトルの計算手順

行列とベクトルの計算手順図
行列とベクトルの計算手順図
行列とベクトルの積の例題
行列とベクトルの積の例題

変換後の要素のある「ひとつ」は元の要素の「すべて」から影響を受けている

1.7 行列の積

3×3行列の積の計算例
3×3行列の積の計算例

「行」×「列」で新たな行列の成分を求める!

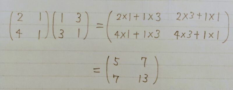
1.8 行列の積 例題

行列の積 例題
行列の積 例題

2.逆行列とは

2.1 連立1次方程式の解き方

別記事『【日常生活で使える数学】行列の便利さを徹底解説!』を参照

2.2 行列の「逆数」のようなもの

逆行列を用いて連立1次方程式を解く手順
逆行列を用いて連立1次方程式を解く手順
逆行列の元の発想
逆行列の元の発想

2.3 単位行列と逆行列

単位行列と逆行列
単位行列と逆行列

2.4 逆行列の求め方

吐き出し法による逆行列の求め方
吐き出し法による逆行列の求め方

2.5 逆行列を求める問題

逆行列を求める問題
逆行列を求める問題

2.6 逆行列が存在しない条件

逆数が存在しない数があるのと同様に逆行列が存在しない行列というものもある
         ↓
解がない、解が1組に定まらないタイプの連立方程式

逆行列が存在しない例
逆行列が存在しない例
逆行列が存在しない条件
逆行列が存在しない条件

3.行列式とは

3.1 行列式の特徴

ある行列が2つの横ベクトルの組み合わせだと考えたとき

行列式の説明
行列式の説明
3つ以上のベクトルからできている行列式の展開
3つ以上のベクトルからできている行列式の展開
行列式の特徴

3.2 問題

問題                      解答

行列式の特徴を証明する問題
行列式の特徴を証明する問題

3.3 行列式の求め方

行列式の求め方
行列式の求め方

3.4 行列式を求める問題

行列式を求める問題とその解答
行列式を求める問題とその解答

4.まとめ

【線形代数(行列)のまとめ】
  • 行列は「ベクトルの変換」と「連立方程式を解く」のに使える。
  • 行列を用いて連立方程式を解くためには「逆行列」を求める必要がある。
  • 逆行列が存在しない行列にはその「行列式」の値に条件がある。

最後まで読んで頂きありがとうございます。
皆様のキャリアアップを応援しています!!

よかったらシェアしてね!
  • URLをコピーしました!
  • URLをコピーしました!

コメント

コメントする

目次